GC5NT66 Unknown Cache Spherical Pi
Type: Mystery | Size: Micro Micro | Difficulty: 2.5 out of 5 | Terrain: 2.5 out of 5
By: RPieperCO @ | Hide Date: 03/14/2015 | Status: Available
Country: United States | State: Colorado
Coordinates: N38° 51.427 W104° 50.234 | Last updated: 08/30/2019 | Fav points: 0
Dogs  Recommended for kids  Takes less than an hour  Available at all times  Parking available  Bicycles  Short hike (less than 1km) 

Happy Ultimate Pi Day!

This is one of the themed releases for the once in a lifetime day!  

3/14/15 @ 9:26:53AM

How neat is that?!


The cache is not at the listed coordinates but it is one of several potential parking spots.

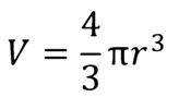
To find this cache you must use pi to calculate the volume of a sphere. Pi = 3.14159 for all equations.

Consider the following mathematical equation:



You can assume the following:

 

N38 51.AB And W104 50.CD

 

A: Calculate the Diameter of sphere that has a volume of 65.4498

B: Calculate the Circumference of a sphere that has a volume of 663.72255

C: Calculate the Volume of a sphere that has a diameter of 4.77484

D: Calculate the Radius of a sphere that has a volume of 268.082346

 

Now that you know where the cache is get out there and find it! Have fun!

 

 

Congratulations to Hartsdale for his FTF!!!

 

 

You can check your answers for this puzzle on GeoChecker.com.

Additional Waypoints

 Custom URLs

Add cache to watch list
Log your visit
Picture Gallery

 Nearby Caches

GCTWXP LSA - Spring Break II (6.20 kms NE)
GC5NT5R Excellent Pi (9.79 kms NE)
GC19BJ8 -4 Jumping Flamingos (9.97 kms SE)
GC5NT5G Conical Pi! (10.29 kms E)
GC5PDE0 The Solid Rock (12.02 kms NE)

   


Driving Directions

 Logs

5 Logs: Found it 5  

Found it 08/08/2018 By Kerewin0430
Out for a hike/jog after work. Have had this one on the solved list for well over a year and a half, but just now got around to GZ. Thank you for the fun math puzzle!

Found it 03/29/2018 By ColoradoSmith
Tftc! Awesome puzzle!

Found it 07/14/2017 By KJKlock
I'm getting ready to move to PA on Monday, and I realized that I still have a bunch of puzzles that I solved and never found. So, after doing my final out-processing down at Carson this morning, I came up here and found a few puzzle caches, including this one.

My GPS does not have any of these trails on its map, so I was back to old-school figuring out which trail is the correct trail. That was fun.

Found it after circling several times. It shouldn't have been that hard to spot, but it was for some reason.

TFTC!

Found it 02/12/2017 By GMSwan
Solved the puzzle and found the cache in good shape. Beautiful day for a hike, TFTC and the brain teaser. It's been a long time since I needed that type of math.

Found it 08/20/2016 By mtn_goat
Round and round the pi we go. Ah, there it is.